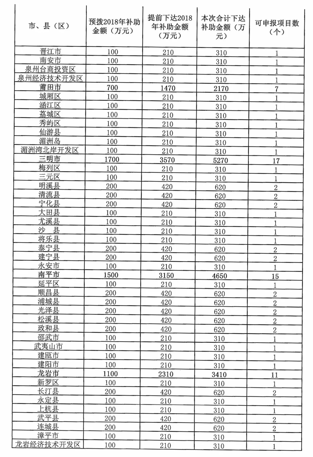
2018年公办幼儿园建设项目补助资金下达了。
2018年原则上安排每个县(市、区、开发区)1个新建公办幼儿园项目,23个省级扶贫开发工作重点县原则上增加申报1个项目。项目申报工作待省里研究确定2018年具体项目资金安排及项目数量后另文通知,届时无项目申报的县(市、区),省级将相应追减补助资金。
按照省委省政府要求,列入2018年公办幼儿园建设补助的项目必须在2018年5月底前开工建设,确保在2018年底全部建成并投入使用。各地财政、教育部门要合理安排省级以上财政专项资金,加快项目建设进度。



这四大类人群将收到千亿元补助!
为做好民生保障工作,日前,财政部会同民政部、住房城乡建设部下发通知,提前下达2018年中央财政困难群众救助补助、农村危房改造补助、中央财政医疗救助补助、残疾人事业发展补助等4项民生类预算指标。
困难群众救助补助
2018年中央财政困难群众救助补助资金9286407万元。
该项资金救助对象:
用于低保、特困人员救助供养、临时救助、孤儿基本生活保障及流浪乞讨人员的救助补助支出。
医疗救助补助资金
2018年中央财政医疗救助补助资金1078932万元。
该项资金救助对象:
在中国境内发生急重危伤病、需要急救但身份不明确或无力支付相应费用的患者。
农村危房改造补助资金
2018年中央财政农村危房改造补助资金1859162万元。
该项资金救助对象:
用于低保户、农村分散供养特困人员、贫困残疾人家庭和建档立卡贫困户的危房改造。
财政部、住房和城乡建设部要求,用于贫困县的中央财政农村危房改造补助资金增幅不低于该项资金平均增幅。各地要及时将资金分解下达到县,分配给贫困县的资金一律采取“切块下达”,资金项目审批权限完全下放到县,不得指定具体项目或提出与脱贫攻坚无关的任务要求。
残疾人事业发展补助资金
2018年中央财政残疾人事业发展补助资金212646万元。
该项资金救助对象:
残疾人事业发展补助资金中一般公共预算资金88908万元,统筹用于残疾人康复、农村贫困残疾人实用技术培训等方面支出;中央专项彩票公益金123738万元,统筹用于残疾儿童康复救助、残疾人康复和托养机构设备补贴、残疾人助学等方面支出。
新闻多看点
最低工资标准
沪深浙津四地超2000元
进入12月,浙江和辽宁各自上调最低工资标准。至此,据不完全统计,今年以来,至少已有上海、浙江、天津、北京、江苏、山东、吉林、内蒙古、湖北、河南、福建、山西、陕西、贵州、黑龙江、江西、宁夏、甘肃、辽宁、湖南、青海以及深圳市等22个地区宣布上调最低工资标准。
最低工资标准上调后,目前,上海、深圳、浙江、天津、北京这五个地区的月最低工资标准迈入2000元大关。
其中,
上海月最低工资标准2300元,为全国最高;
深圳次之,为2130元;
浙江第三,第一档月最低工资标准为2010元;
天津月最低工资标准今年是首次突破2000大关,达到2050元;
北京月最低工资标准刚好为2000元。

养老金京沪等地
月均超3000元
今年4月,人社部、财政部下发通知,明确从2017年1月1日起调整企业和机关事业单位退休人员基本养老金水平,总体上调5.5%左右。
按照人社部要求,各地因地制宜,31个省份已全部公布养老金调整方案。

这些省份的养老金调整方案,普遍采取了定额调整、挂钩调整与适当倾斜相结合的调整办法。
从已公布的各地方案中看到,定额调整部分,各地增加的幅度各不相同,福建、新疆最低,每人每月增加35元;辽宁的定额调整分为五档,最高档为建国前参加工作的退休老工人,每人每月增加75元。
据公开数据显示,西藏、北京、上海、青海四个地方的企业退休人员月均养老金均已超过3000元,排在全国前列。
技能提升补贴
每年将有200万左右企业职工受益
今年5月份,人社部、财政部共同印发了《关于失业保险支持参保职工提升职业技能有关问题的通知》,明确失业保险基金用于参保职工技能提升补贴。同时还明确了补贴的上限,即初级工一般不超过1000元、中级工不超过1500元、高级工不超过2000元,补贴标准可向地区紧缺急需工种倾斜。
随后,各地相关实施办法陆续出台。
据媒体统计,
至少已有江苏、河北、辽宁、浙江、安徽、福建、江西、河南、内蒙古、广东、广西、山东、宁夏、甘肃、湖北、湖南、云南、重庆等省区市出台了具体实施办法。
从各地的具体规定来看,补贴标准多跟国家规定的上限保持一致。据测算,每年将有200万左右的企业职工受益。
那么,如何才能申请这个补贴?
根据通知,要申请技能提升补贴,需同时满足两个条件:一是依法参加失业保险,累计缴纳失业保险费36个月(含36个月)以上;二是自2017年1月1日起取得初级(五级)、中级(四级)、高级(三级)职业资格证书或职业技能等级证书。